中文版
English
网站首页
关于我们
产品展示
新闻中心
销售网络
在线订单
联系我们
原料药及中间体
其他中间体
技术服务
•
•
•
原料药及中间体
其他中间体
技术服务
13757645980
0576-81101151
产品展示> 原料药及中间体
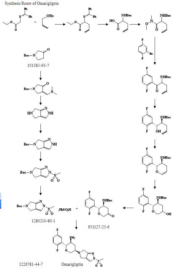
奥格列汀
Canova Product list: Omarigliptin and its intermediates
No
Product Name
CAS No.
Structure
1
Omarigliptin
1226781-44-7
2
Omarigliptin intermediate
1280210-80-1
3
Omarigliptin intermediate
951127-25-6
4
Omarigliptin intermediate
101385-93-7
台州嘉诺华生物科技有限公司
版权所有(C)2015网络支持
中国化工网
全球化工网
生意宝
著作权声明
备案号:浙ICP备15002535号-1