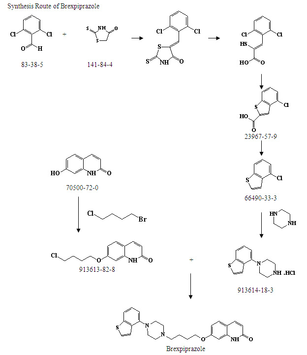
依匹哌唑
Canova Product list: Brexpiprazole and its intermediates
| No |
Product Name |
CAS No. |
Structure |
| 1 |
Brexpiprazole |
913611-97-9 |
 |
| 2 |
Brexpiprazole intermediate |
913614-18-3
846038-18-4 (Base) |
 |
| 3 |
Brexpiprazole intermediate |
913613-82-8 |
 |
| 4 |
Brexpiprazole intermediate |
70500-72-0 |
 |
