中文版
English
网站首页
关于我们
产品展示
新闻中心
销售网络
在线订单
联系我们
原料药及中间体
其他中间体
技术服务
•
•
•
原料药及中间体
其他中间体
技术服务
13757645980
0576-81101151
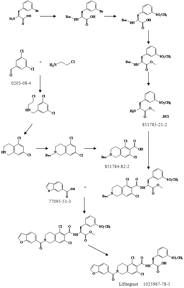
产品展示> 原料药及中间体
利非格拉司特
Lifitegrast and its Intermediates
No
Product Name
CAS No.
Structure
1
Lifitegrast
1025967-78-5
2
Lifitegrast intermediate
851785-21-2
3
Lifitegrast intermediate
851784-82-2
4
Lifitegrast intermediate
77095-51-3
Synthesis Route of Lifitegrast
台州嘉诺华生物科技有限公司
版权所有(C)2015网络支持
中国化工网
全球化工网
生意宝
著作权声明
备案号:浙ICP备15002535号-1